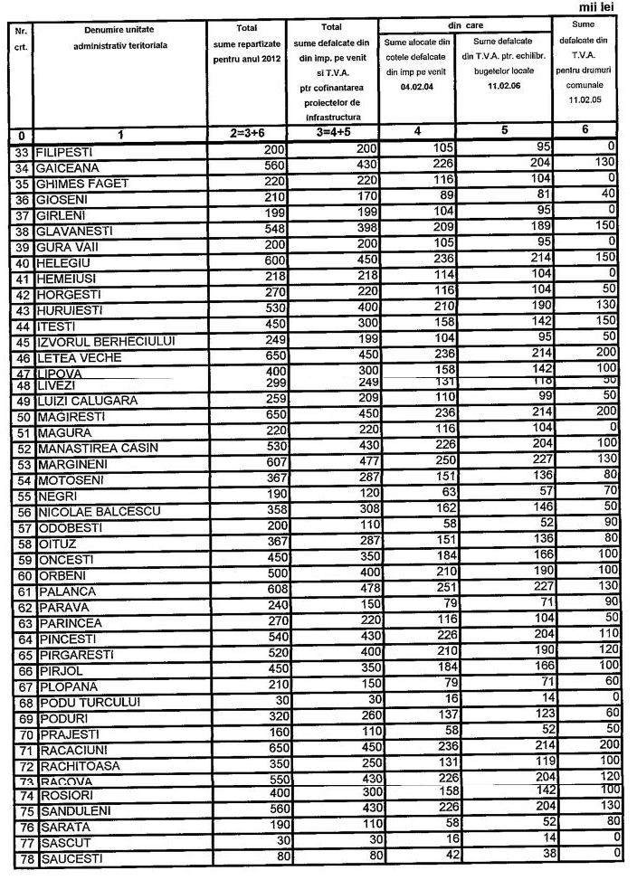
O imagine comparativă a bugetului unităţilor administrativ - teritoriale din judeţul Bacău (cu o populaţie de peste 5000 de locuitori) şi mărimea demografică. După votul de mâine din Consiliu Judeţean, prin care se va aproba repartizarea banilor publici, se vor putea face diverse comentarii şi analize la obiect.
Sursa datelor: catalinbejan.ro




Niciun comentariu:
Trimiteți un comentariu